Skip to content

Images for Plotting A3 #1

@jasonlovescoding

Description

@jasonlovescoding

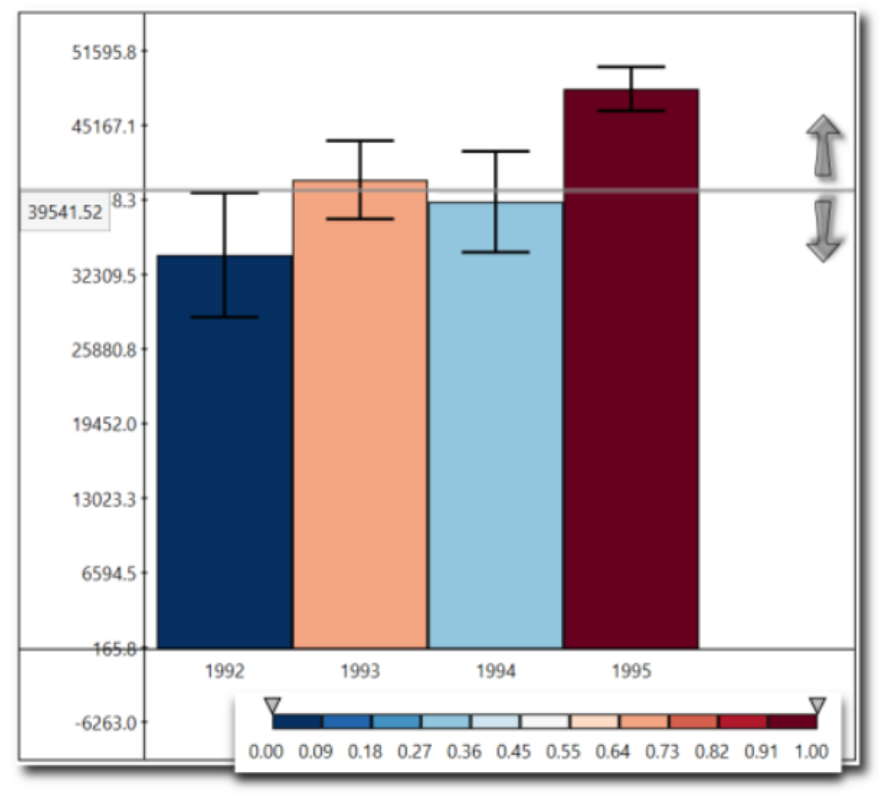
assignment3fig2c

assignment3fig1

Metadata

Metadata

Assignees

No one assigned

    Labels

    No labels
    No labels

    Projects

    No projects

    Milestone

    No milestone

    Relationships

    None yet

    Development

    No branches or pull requests

    Issue actions